• Предмет: Геометрия
  • Автор: lopatinakristina
  • Вопрос задан 10 лет назад

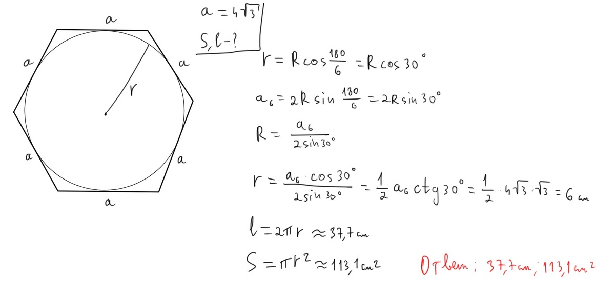
Найдите площадь круга и длину ограничивающей его окружности, если сторона правильного шестиугольника, описанного около него, равна 4 корня из 3 см

Ответы

Ответ дал: nikolac
0
Решение на картинке.
Приложения:
Вас заинтересует