помогите пожалуйста с химией номер 4 и 5
Приложения:

youroxygenium:
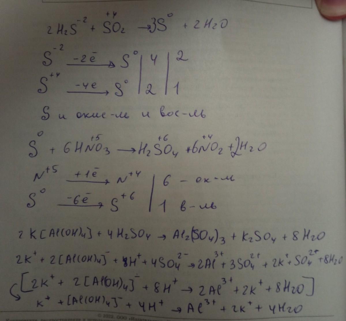
могу решить только цепочку
Ответы
Ответ дал:
1
ловии
.............................
Приложения:


Вас заинтересует
2 года назад
2 года назад
2 года назад
8 лет назад
8 лет назад
9 лет назад