Ответы
Ответ дал:
1
Ответ:
Объяснение:
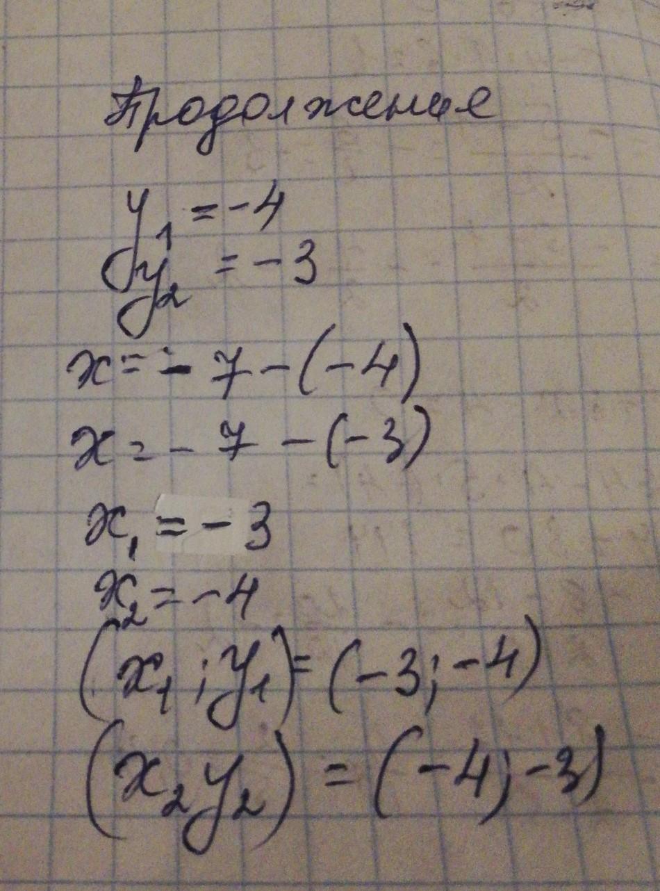
x^2+y^2+2xy=49
x^2+y^2=25
2xy=49-25=24
xy=12
x+y=-7
x=-4 x=-3
y=-3 y=-4
Ответ дал:
1
Ответ:
Смотри решение на фото...
Приложения:


Вас заинтересует
2 года назад
2 года назад
2 года назад
2 года назад
8 лет назад
9 лет назад