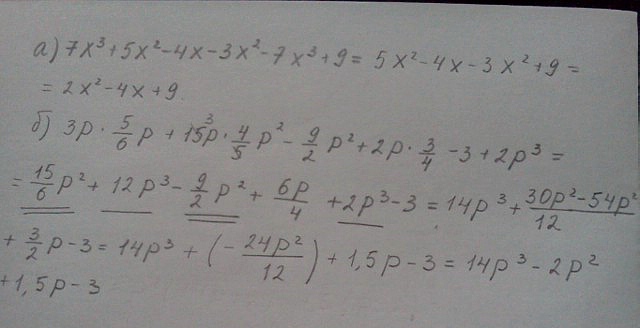
приведите многочлен к стандартному виду и запишите его в порядке убывания степеней переменной: а) 7х^3+5х^2-4х-3х^2-7х^3+9 б) 3р*5/6р+15р*4/5р^2-9/2р^2+2p*3/4-3+2р^3 знак / означает дробную черту, а ^ означает степень Помогите, пожалуйста!
Ответы
Ответ дал:
0
Решение прикреплено файлом!
Приложения:

Вас заинтересует
2 года назад
2 года назад
8 лет назад
10 лет назад
10 лет назад
10 лет назад