• Предмет: Математика
  • Автор: fentezifashion
  • Вопрос задан 7 лет назад

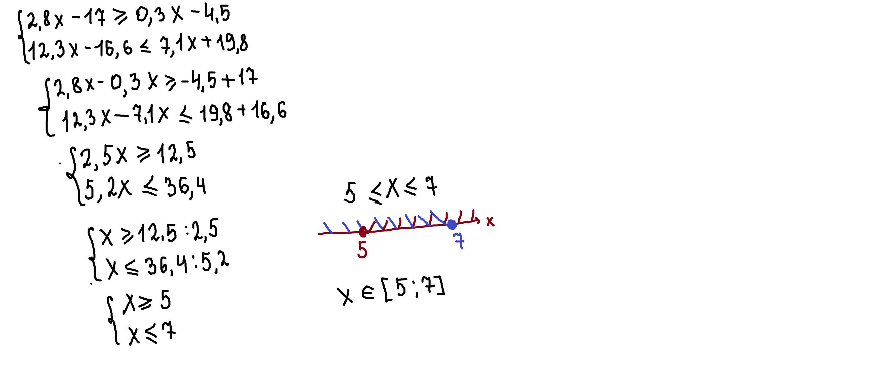
помогите пж даю 30 баллов!!!!!!2,8x – 17 > 0,3x – 4,5,
12, 3x - 16,6 < 7,1x +19,8.​

Приложения:

Ответы

Ответ дал: parus77
3

Ответ:

5≤х≤7      х∈[5;7]

Пошаговое объяснение:

Приложения:

fentezifashion: спасибо помог!!!
krutojigor159: почему -4.5+1.7=12.5?
parus77: там 17,а не 1,7.
Вас заинтересует