• Предмет: Математика
  • Автор: Vektor200907
  • Вопрос задан 7 лет назад

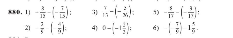
помогите пожалуйста номер 880​

Приложения:

shyninzhu2012: >: (
shyninzhu2012: я так долго тебе писала ответ, а ты его удалила!!!
shyninzhu2012: теперь сиди и сама делай!!!

Ответы

Ответ дал: dd8810076
0

Ответ:

3/6

Пошаговое объяснение:

5/25 6/8

Вас заинтересует