• Предмет: Математика
  • Автор: Vektor200907
  • Вопрос задан 7 лет назад

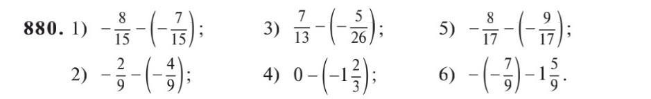
помогите пожалуйста номер 880​

Приложения:

Ответы

Ответ дал: tasha82v26
0

Пошаговое объяснение:

.......................

Приложения:
Вас заинтересует