• Предмет: Физика
  • Автор: jsshestakova
  • Вопрос задан 7 лет назад

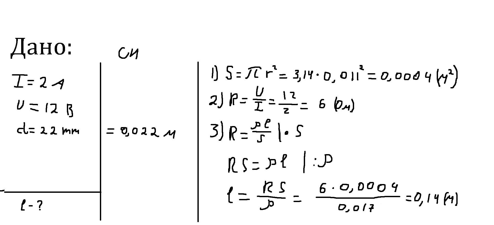
электрик решил измерить длину одножильного медного провода, смотанного в спираль- катушку( так называемого соленоида) Провод был довольно длинный, но электрик был опытный. Он собрал цепь, подключил туда вольтметр и амперметр, снял с них показания ( I= 2A, U=12B) и замерил диаметр провода ( d=22mm). Какой оказалась длина провода? ​

Ответы

Ответ дал: lis980
3

Ответ:

ответ в фото

лучший ответ плз)

Объяснение:

Приложения:

jsshestakova: спасибо!
Вас заинтересует