• Предмет: Математика
  • Автор: pidr228335
  • Вопрос задан 7 лет назад

помогитееееееееееееее

Приложения:

Ответы

Ответ дал: juliezelin
2

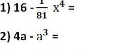
1) 16-1/81x⁴= 1/81 (6-x)(6+x)(36+x²)

2) 4a-a³= a( 2-a)(2+a)

Вас заинтересует