• Предмет: Алгебра
  • Автор: mcmrgrow
  • Вопрос задан 7 лет назад

Даю 50 баллов за один пример.
Задание и пример во вложении

Приложения:

Ответы

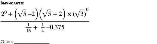
Ответ дал: karolinka6
2

Сначала посчитаем числитель

1) 2^{0}=1\\ 2) \sqrt{3}  ^{0}=1\\ 3)(\sqrt{5}  -2)(\sqrt{5}+2)=5-4=1\\ 4)1+1=2

Посчитаем знаменатель

\frac{1}{16} +\frac{4}{16} =\frac{5}{16} \\0.375=\frac{3}{8} \\\frac{5}{16}-\frac{6}{16}=-\frac{1}{16}

Поделим

2:\frac{-1}{16} =2*(-16)=-32

Ответ дал: xacku2020
1

2⁰=1 ,  (√3)⁰=1

(√5-2)(√5+2)=√5²-2²=5-4=1

\frac{1}{16} +\frac{1}{4} -0,375= \frac{1}{16} +\frac{1}{4} - \frac{3}{8} =\frac{1+4-6}{16} =\frac{-1}{16}

\frac{1+1*1}{\frac{-1}{16} } =\frac{2*16}{-1} =-32

Вас заинтересует