• Предмет: Алгебра
  • Автор: Artemkonos
  • Вопрос задан 7 лет назад

Помогите с заданием срочно!

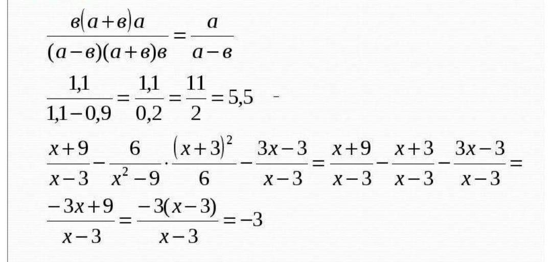
Приложения:

Ответы

Ответ дал: annaaosetrova
1

Надеюсь помог, удачи тебе, просто надо не меньше 20 слов, а над задачкой сидел, решал :)

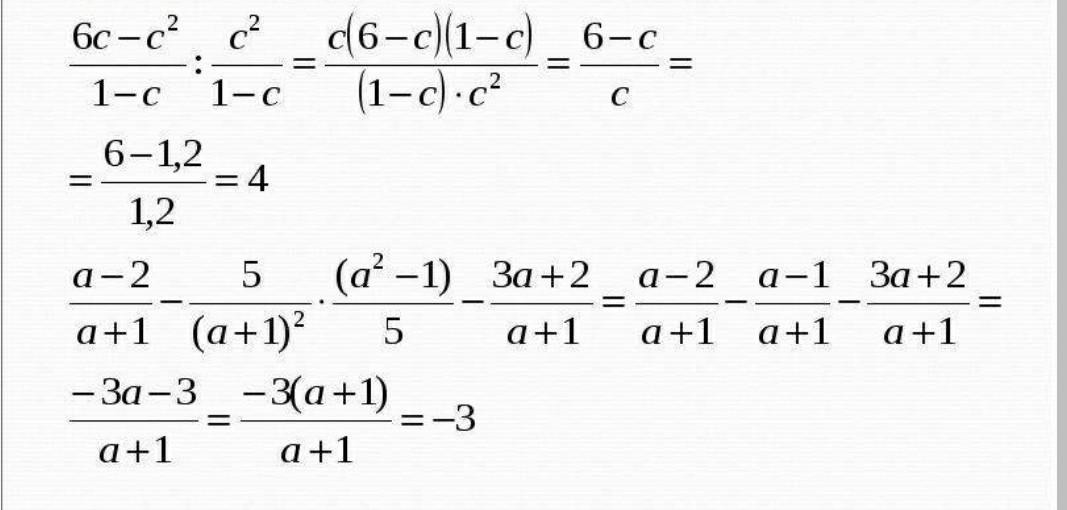
Приложения:
Вас заинтересует