• Предмет: Геометрия
  • Автор: stepangorbenko
  • Вопрос задан 7 лет назад

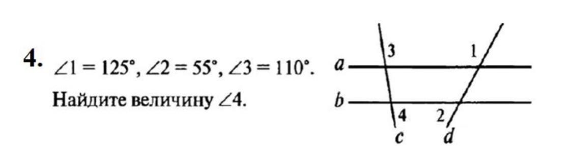
Угол 1= 125 градусов угол 3= 110 градусов
Найдите величину угла 4

Приложения:

Ответы

Ответ дал: linavik1220
1

Ответ:

добавим угол х (вертикальный углу 4), он будет накрест лежащим с углом 3, при секущей с, значит угол 3= углу х, а угол х равен углу 4, значит 3=4, и угол 4=110 градусов

Вас заинтересует