• Предмет: Математика
  • Автор: rnovickij75
  • Вопрос задан 7 лет назад

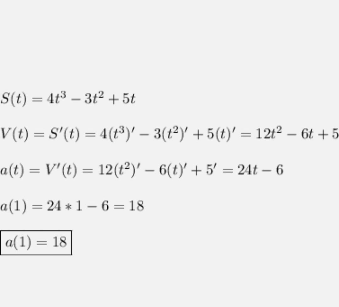
Матеріальна точка рухається прямолінійно за законом S(t)=3t2–9t+5 (час tвимірюється, шлях S– у метрах). Знайти швидкість точки в момент часу t=4с.
А Б В Г Д
20м/с 15м/с 3м/с 8м/с 27м/с

Ответы

Ответ дал: vikaggsuper
0

Ответ:

Вот бери все понятно!!!

Приложения:
Вас заинтересует