Ответы
Ответ дал:
0
Ответ:
Объяснение:
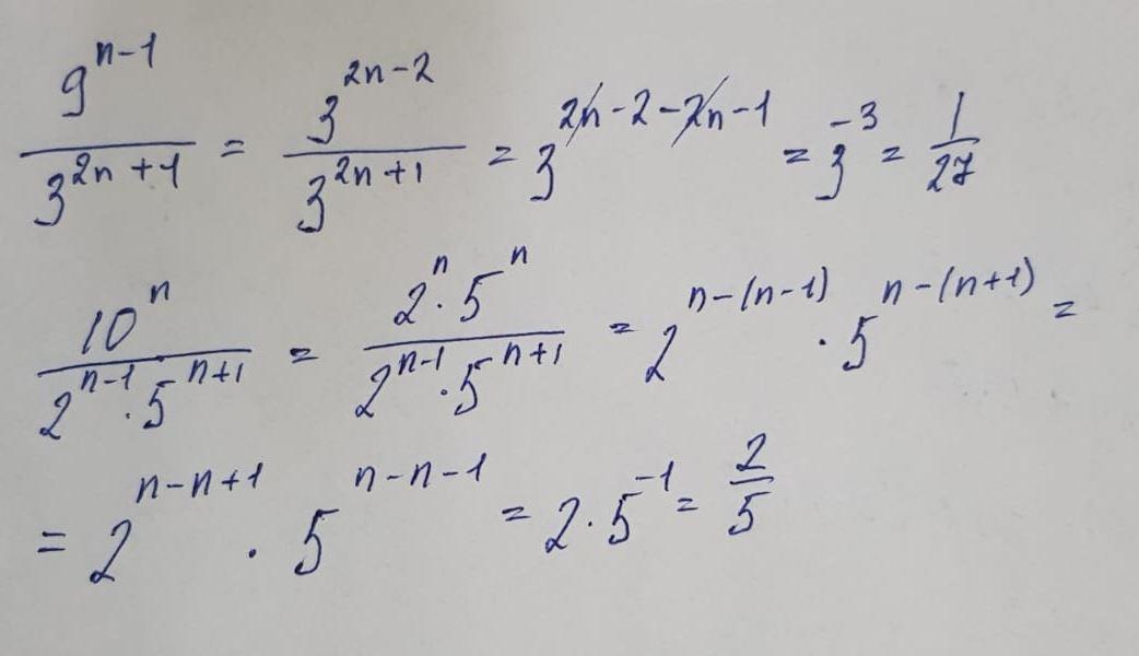
3^2n-2/3^2n + 1 = 1/27
2^n * 5 ^ n/ 2^n -1 * 5 ^ n + 1= 2 /5
Ответ дал:
0
Ответ:
№6
1.
2
Объяснение:
Приложения:

Вас заинтересует
2 года назад
2 года назад
2 года назад
2 года назад
8 лет назад
8 лет назад
9 лет назад