• Предмет: Алгебра
  • Автор: nikadeputat33
  • Вопрос задан 7 лет назад

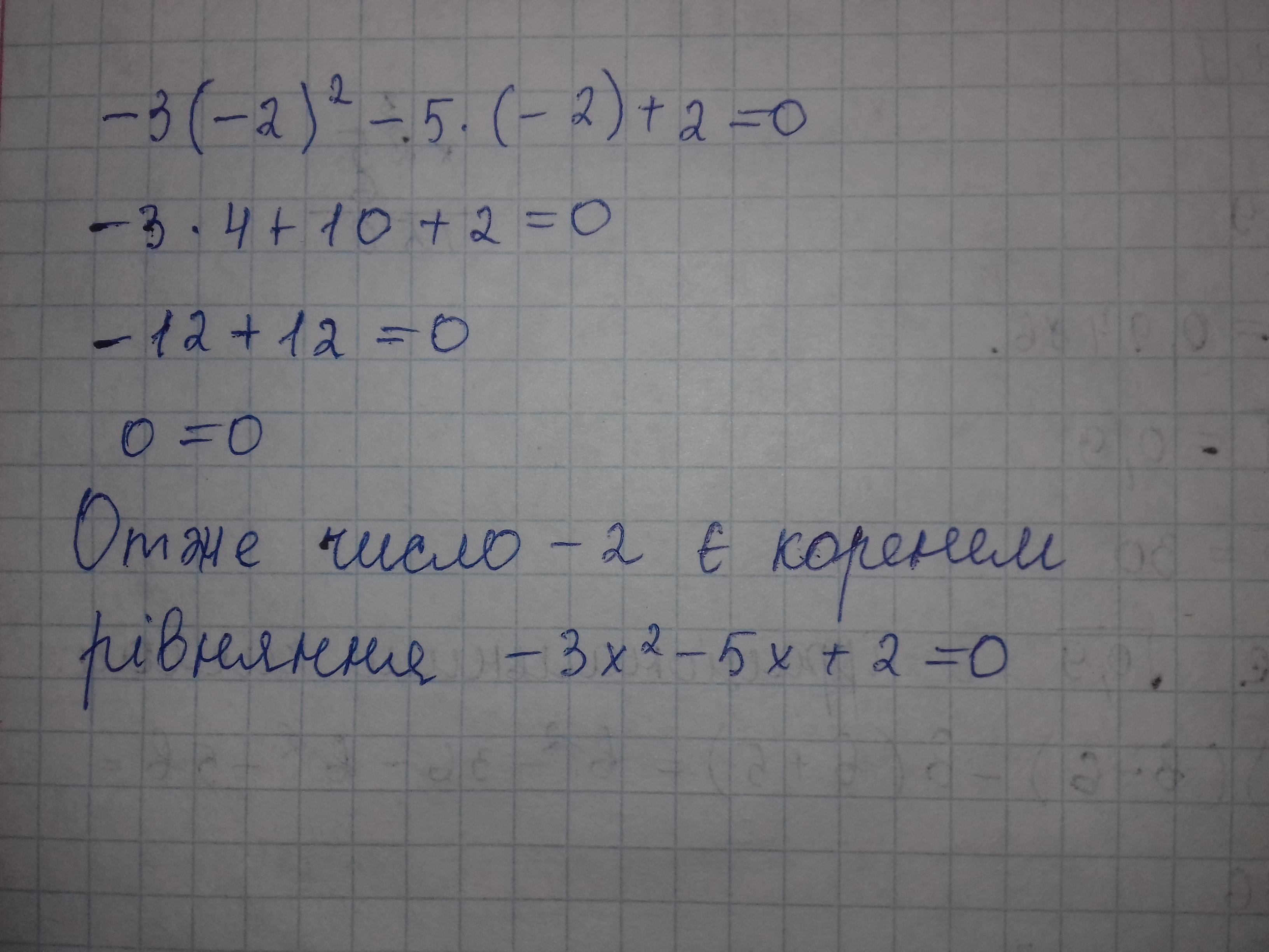
является ли число -2 корнем уравнения
-3х²-5х+2=0

Ответы

Ответ дал: sadykovanatalya2004
0

Ответ:

Смотри фото ниже.

Объяснение:

Приложения:
Ответ дал: Жека100106
0

Ответ:

Да, является

Объяснение:

D=5^2-4*(-3)*2=25+24=49

x1=(-b+√D)/2a=(5+7)/2*(-3)=-2

x2=(-b-√D)/2a=(5-7)/2*(-3)=1/3

Вас заинтересует