Ответы
Ответ дал:
0
Ответ:
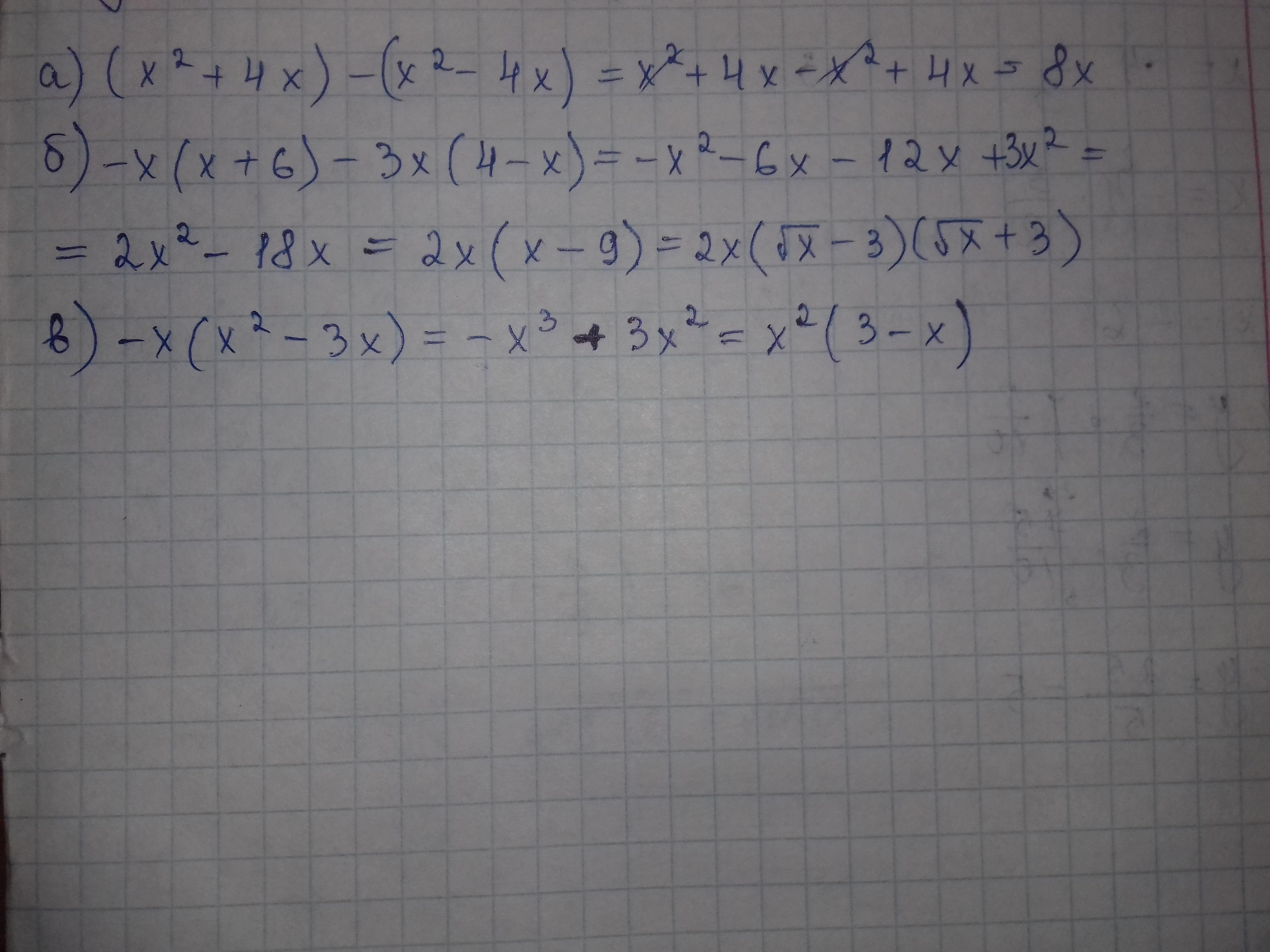
Смотри фото ниже.
Объяснение:
Приложения:

Ответ дал:
0
Ответ:
Вас заинтересует
2 года назад
2 года назад
9 лет назад