• Предмет: Математика
  • Автор: bby458389
  • Вопрос задан 7 лет назад

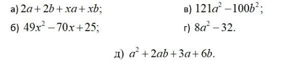
Представьте в виде произведения многочлен:
Срочно​

Приложения:

Ответы

Ответ дал: Danielleis
0

Ответ:

Внизу ~

Пошаговое объяснение:

А)(а+b) •(2+x)

Б)(7x-5)²

В)(11a-10b)(11a+10b)

Г) 8(a-2)(a+2)

Д)(a+2b)(a+3)

Вас заинтересует