• Предмет: Математика
  • Автор: bby458389
  • Вопрос задан 7 лет назад

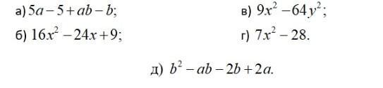
Представьте в виде многочлена:
СРОЧНО​

Приложения:

Ответы

Ответ дал: gayazovsfan2711
0

Ответ:

а) 5а-5+ab-b=(a-1) ×(5+b)

б) 16х²-24х+9=(4х-3)²

в) 9х²-64у²=(3х-8у)×(3х+8у)

г) 7х²-28=7(х-2)×(х+2)

д) b²-ab-2b+2a=(b-a) ×(b-2)

Вас заинтересует