• Предмет: Математика
  • Автор: Utube2587372828
  • Вопрос задан 7 лет назад

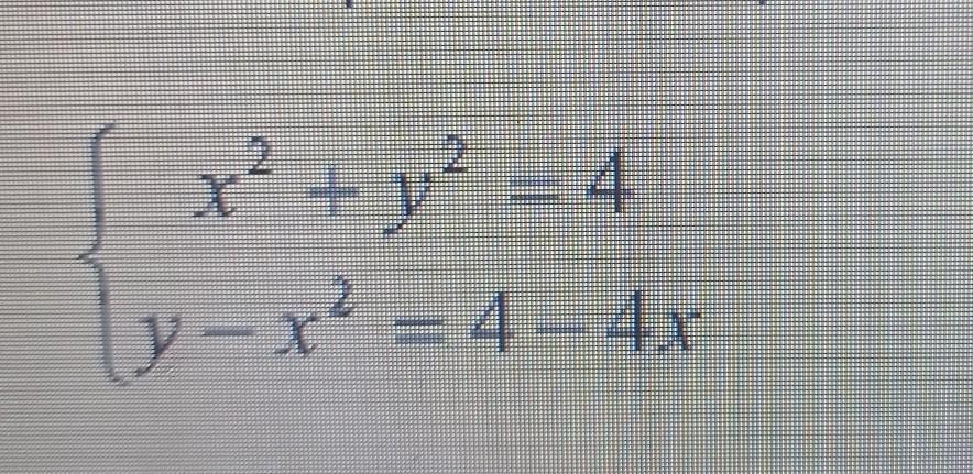
Яка із пар чисел є розв'язком системи рівнянь:
х² + y² = 4
y-x²=4-4x ​

Приложения:

Ответы

Ответ дал: fenix6810
1

x^2+y^2=4
y=(x-2)^2
y^2=4-x^2
4-x^2=(x-2)^4
-(x+2)(x-2)=(x-2)^4 x1=2 y1=0
-x-2=(x-2)^3
x^3-6x^2+12x-8+2+x=0
x^3-6x^2+13x-6=0
еще действительный корень х~0,62 и два комплексных корня
ответ (2;0)
Вас заинтересует