• Предмет: Алгебра
  • Автор: libyVoX
  • Вопрос задан 7 лет назад

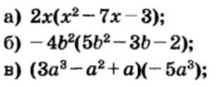
Алгебра 7 класс. Выполните умножение

Приложения:

Ответы

Ответ дал: Daniilprofisional
1

Ответ:

2x^3−14x^2−6x

−20b^4+12b^3+8b^2

−15^6+5a^5 −5a^4

Вас заинтересует