• Предмет: Математика
  • Автор: aisgamer666p8akp0
  • Вопрос задан 7 лет назад

Помогите решить решить в виде неправильной дроби

Приложения:

Ответы

Ответ дал: Denik1003
0

Ответ:

Пошаговое объяснение:

Приложения:
Ответ дал: ArinaGizzatullina200
0

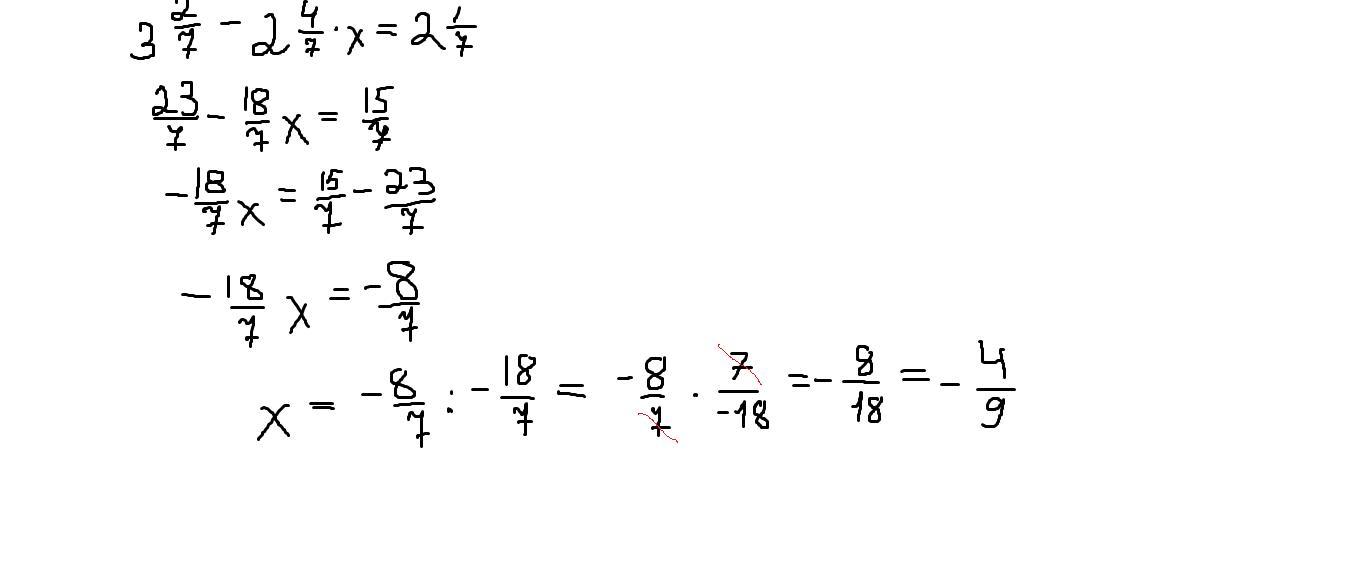
Ответ:

Пошаговое объяснение

Приложения:

ArinaGizzatullina200: дробь - 8/18 можно поделить на два тогда получится -4/9
Вас заинтересует