• Предмет: Математика
  • Автор: artkib307
  • Вопрос задан 7 лет назад

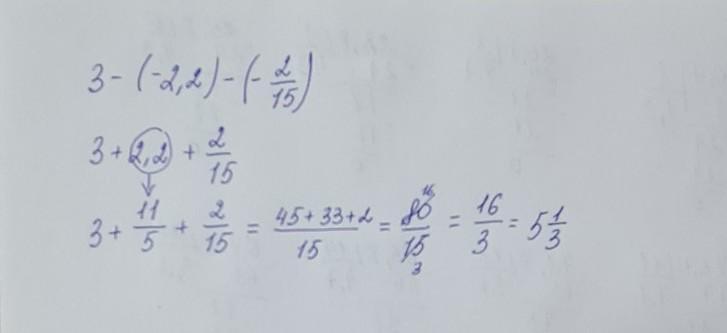
3-(-2,2)-(-2/15) помогите пж


DmItRiY13V: это 2 делить на 15 или дробь это?

Ответы

Ответ дал: tasha82v26
0

Пошаговое объяснение:

лови..................

Приложения:
Вас заинтересует