• Предмет: Алгебра
  • Автор: now28
  • Вопрос задан 7 лет назад

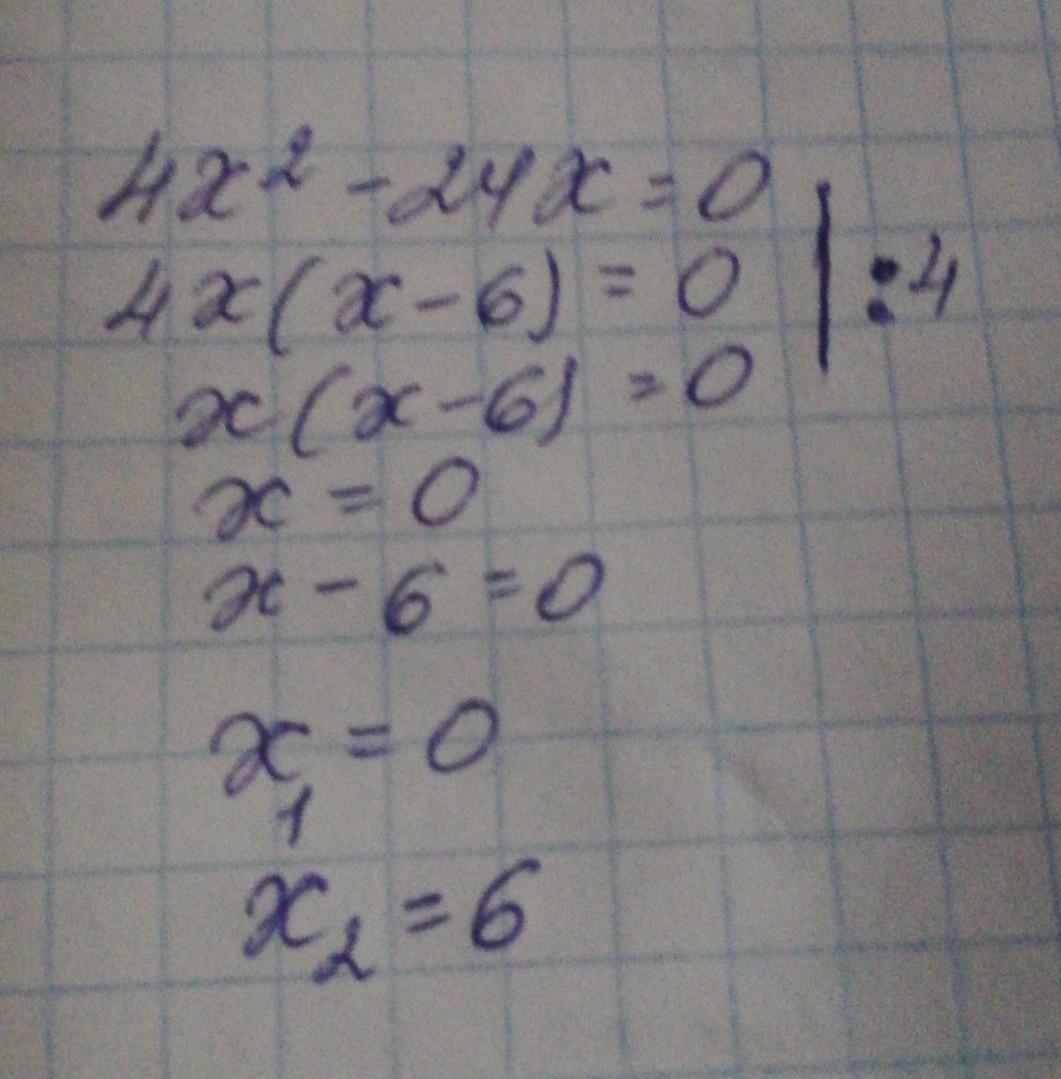
объясните пожалуйста, как решить это уравнение? 4x^2-24x=0 ​

Ответы

Ответ дал: larisaserova53
2

Ответ:

Смотри решение на фото...

Приложения:

larisaserova53: Обе части уравнения разделили на 4
larisaserova53: если что-то непонятно, спрашивай-отвечу
now28: извините, я перепутала уравнение, там x^2-24x=0
larisaserova53: я скинула решение на 2 фото
Ответ дал: Universalka
0

\displaystyle\bf\\x^{2} -24x=0\\\\x(x-24)=0\\\\\\\left[\begin{array}{ccc}x=0\\x-24=0\end{array}\right\\\\\\\left[\begin{array}{ccc}x_{1} =0\\x_{2} =24\end{array}\right\\\\\\Otvet:0 \  \ ; \  \ 24


Universalka: Это решение нового уравнения после корректировки автором задания .
Вас заинтересует