• Предмет: Математика
  • Автор: sinyakovada
  • Вопрос задан 7 лет назад

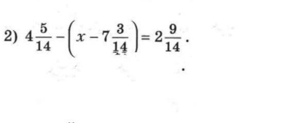
Ребята, помогите пожалуйста решить 1 уравнение

Приложения:

Ответы

Ответ дал: mvasyukowa
0

Ответ:

4 5/14-((14x-31)/14)=2 9/14

4 5/14-(14x-31)/14=2 9/14

(5-14x-31)/14=2 9/14

(-26-14x)/14= 37/14

-26-14x=37

-14x=37+26

-14x=63

x=-63/14

x=-4 7/14

x=-4 1/2

Ответ дал: semyonvagaytsev
0
Я прикрепил фото там все написано.
Приложения:
Вас заинтересует