Алгебра 35.14
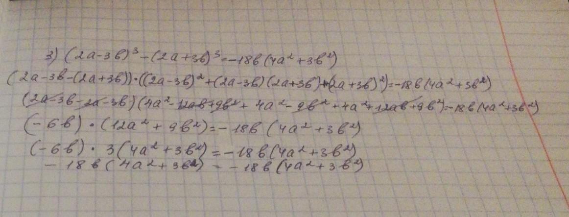
Докажите тождества 35.14. 1) (3х + 4y)2 – (4y – 3х)2 = 48xy; 2) (1,5х – 2y)2 + (2x + 1,5y)2 = 6,25 (x2+y=); 3) (2a - 3b)3 – (2a + 3b)3 = -186(4a2 + 362); 4) (За – 2b)3 + (За + 2b)3 = 18a(3а2 + 4b?). 27 22. 002,
Приложения:

ushka111:
кто ответит - тот лох?)
Ответы
Ответ дал:
23
Ответ:
Смотри решение на фото...
Приложения:



Вас заинтересует
2 года назад
2 года назад
2 года назад
8 лет назад
9 лет назад