• Предмет: Алгебра
  • Автор: xgaster997
  • Вопрос задан 7 лет назад

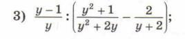
Помогите пожалуйста решить так, чтоб было по действиям(первое действие это скобки)

Приложения:

xgaster997: это если что 7 класс

Ответы

Ответ дал: dobra888
1

Ответ:     ( y + 2 )/( y - 1 ) .

Объяснение:

    3 )  ( y - 1 )/y  : [ ( y² + 1 )/(y² + 2y ) - 2/( y + 2 ) ] = ( y + 2 )/( y - 1 ) .

1)   ( y² + 1 )/(y² + 2y ) - 2/( y + 2 ) = ( y² + 1 - 2y )/[ y( y + 2 ) ] =

    = ( y - 1 )²/[ y( y + 2 )] ;

2)  ( y - 1 )/y  : ( y - 1 )²/[ y( y + 2 )] = ( y - 1 )/y * [ y( y + 2 )]/( y - 1 )²=

     =  ( y + 2 )/( y - 1 ) .            

 

Вас заинтересует