• Предмет: Алгебра
  • Автор: tokot650
  • Вопрос задан 7 лет назад

Помагите решить пж пж
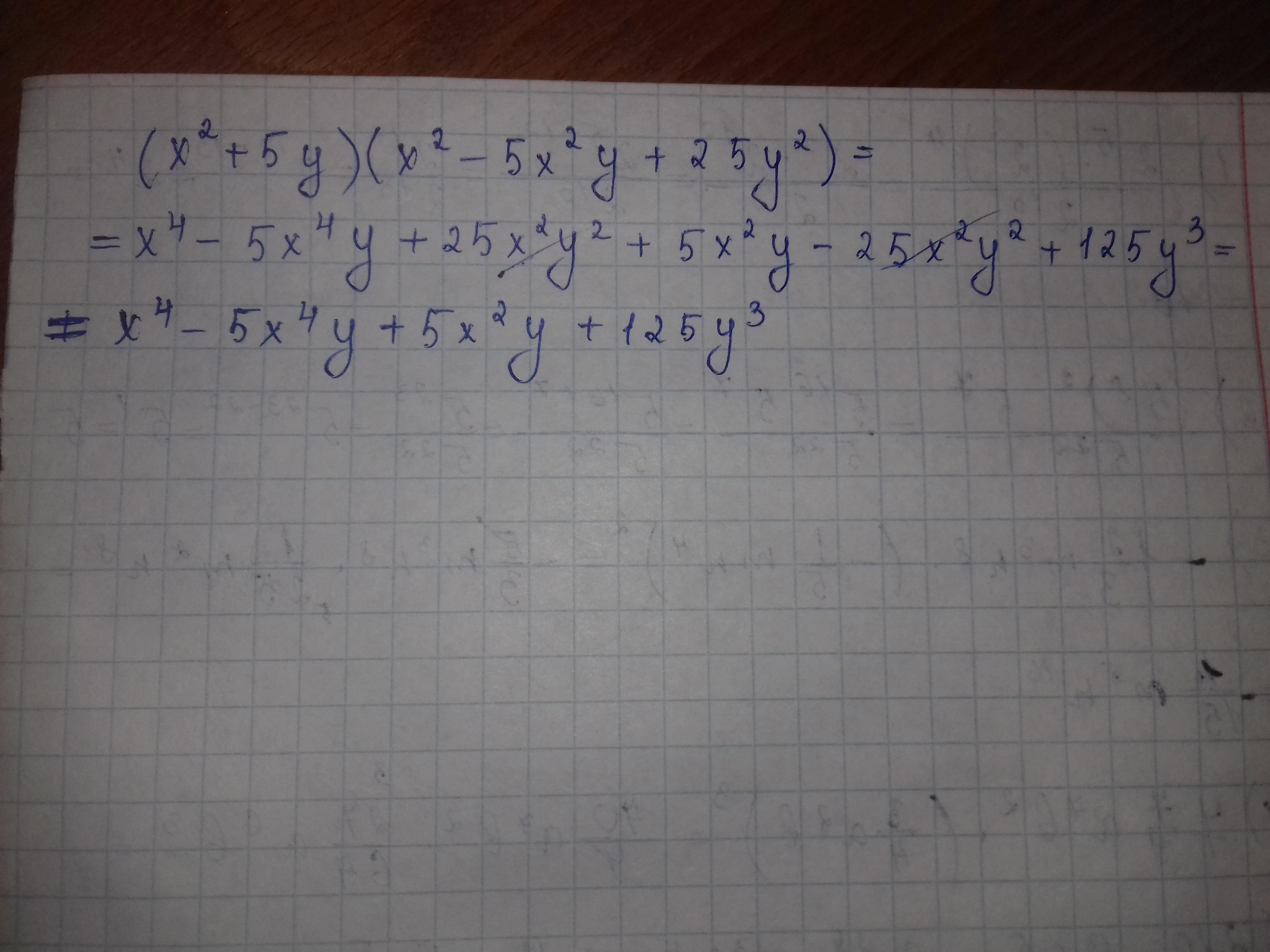
Представьте выражение в виде многочлена:
(x²+5y) (x²-5x²y+25y²) ​


Universalka: По - моему у вас неверно записано задание и во второй скобке должно быть икс в четвёртой степени , а не в квадрате .

Ответы

Ответ дал: sadykovanatalya2004
1

Ответ:

Смотри фото ниже.

Объяснение:

Приложения:

tokot650: спс большое:)
sadykovanatalya2004: Не за что
Вас заинтересует