• Предмет: Математика
  • Автор: anfisasx28
  • Вопрос задан 7 лет назад

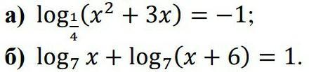
помогите пожалуйста ​

Приложения:

Ответы

Ответ дал: boyko98y
1

Пошаговое объяснение:

хай буде 12,удачи

усміхайся

Приложения:
Вас заинтересует