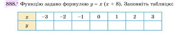
Функцію задано формолою y=x(x+8).Заповніть таблицю
Пожалуйста дам 100 баллов.
Приложения:

Universalka:
- 15 ; - 12 ; - 7 ; 0 ; 9 ; 20 ; 33
Ответы
Ответ дал:
0
Відповідь:
Пояснення:
Підставляєте x в y = x(x + 8)
Вас заинтересует
2 года назад
2 года назад
2 года назад
8 лет назад
8 лет назад
9 лет назад