• Предмет: Алгебра
  • Автор: КатяСизова
  • Вопрос задан 7 лет назад

Срочно! Решите 12 задание под а
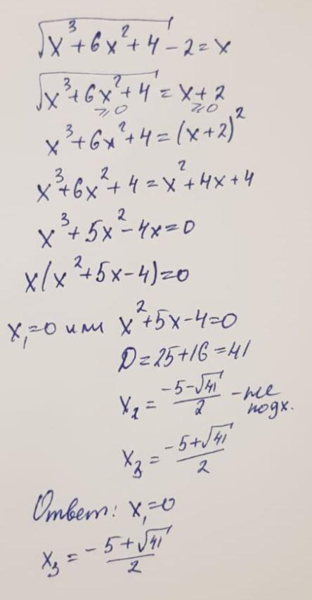
корень из (x^3+6x^2+4)-2=x

Приложения:

Ответы

Ответ дал: m11m
1

Ответ:

!!!!!!!!!!!!!!!!!!!!!!!!!!

Объяснение:

Приложения:
Ответ дал: Vivernar
1

Ответ:

Объяснение:

Подкоренное выражение ≥ 0 и x+2≥0 ⇒ x≥-2

Приложения:
Вас заинтересует