• Предмет: Математика
  • Автор: dasha0108666
  • Вопрос задан 7 лет назад

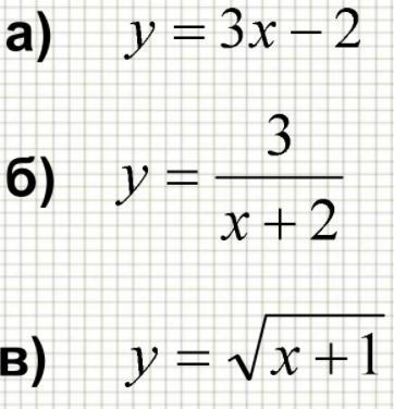
Срочно просьба помочь построить графики функций:
Заранее спасибо!

Приложения:

Ответы

Ответ дал: lebed81r
1

Ответ:

все фотки в правильном порядке

Приложения:
Вас заинтересует