• Предмет: Алгебра
  • Автор: varyasemsem
  • Вопрос задан 7 лет назад

СРОЧНОООО НАДООО
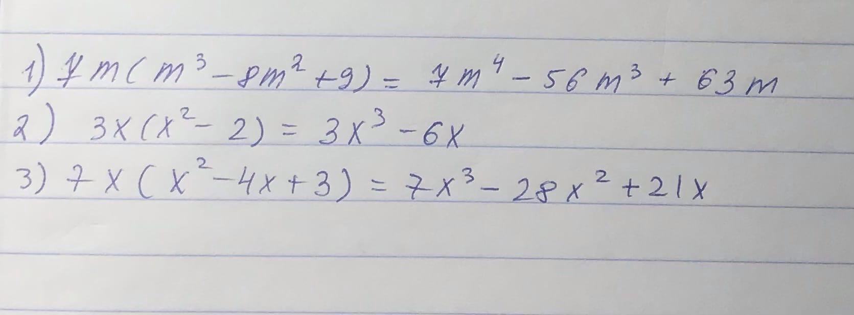
раскол скобки : 7m(m3-8m2+9)
3x(x2-2)=
7x(x2-4x+3)=


varyasemsem: до окончания урока

Ответы

Ответ дал: rollingsailor
1

Ответ:

1) 7m(m³-8m²+9)=7m⁴-56m³+63m

2) 3x(x²-2)=3x³-6x

3) 7x(x²-4x+3)=7x³-28x²+21x

Ответ дал: lenochkalee
1

Ответ: решение смотри на фото

Приложения:
Вас заинтересует