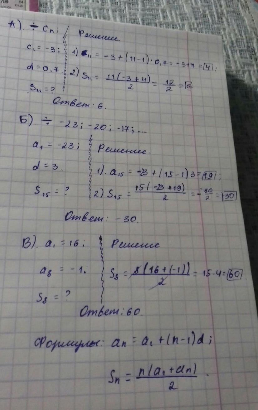
А) Последовательность (cn)-арефметическая прогресия.Найдите сумму первых 11 членов прогресии,если C1=-3 и d=0,7
Б) Найдите сумму первых 15 членов арефметической прогресии: -23;-20;-17;........
В) Найдите сумму первых 8 членов арефметической прогресии, если а1=16,а8=-1
срочно даю 20 баллов
Ответы
Ответ дал:
5
Приложения:

mvlad0072:
Спасибо большое
Вас заинтересует
2 года назад
2 года назад
2 года назад
2 года назад
8 лет назад
8 лет назад
9 лет назад