• Предмет: Математика
  • Автор: streziwe
  • Вопрос задан 7 лет назад

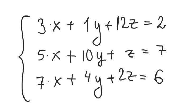
3x+1y+12z=2 5x+10y+z=7 7x+4y+2z=6
Найти x y z

Приложения:

Ответы

Ответ дал: Аноним
0

Ответ:

Пошаговое объяснение:

если не правильно не бань пж...

Приложения:

Аноним: Можно лучший мне один надо очень!
Вас заинтересует