• Предмет: Алгебра
  • Автор: Аноним
  • Вопрос задан 7 лет назад

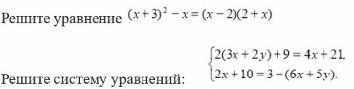
решите! пожалуйста! умоляю дам много баллов!!!

Приложения:

Ответы

Ответ дал: hurbolzz2001
0

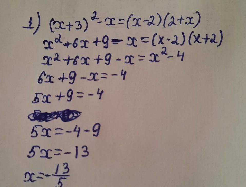
Ответ:

Сделай пж лучшим ответом!!

Приложения:
Вас заинтересует