• Предмет: Математика
  • Автор: fannydumpling
  • Вопрос задан 7 лет назад

помогите пожалуйста срочно ​

Приложения:

Ответы

Ответ дал: Deez12
0

Ответ:

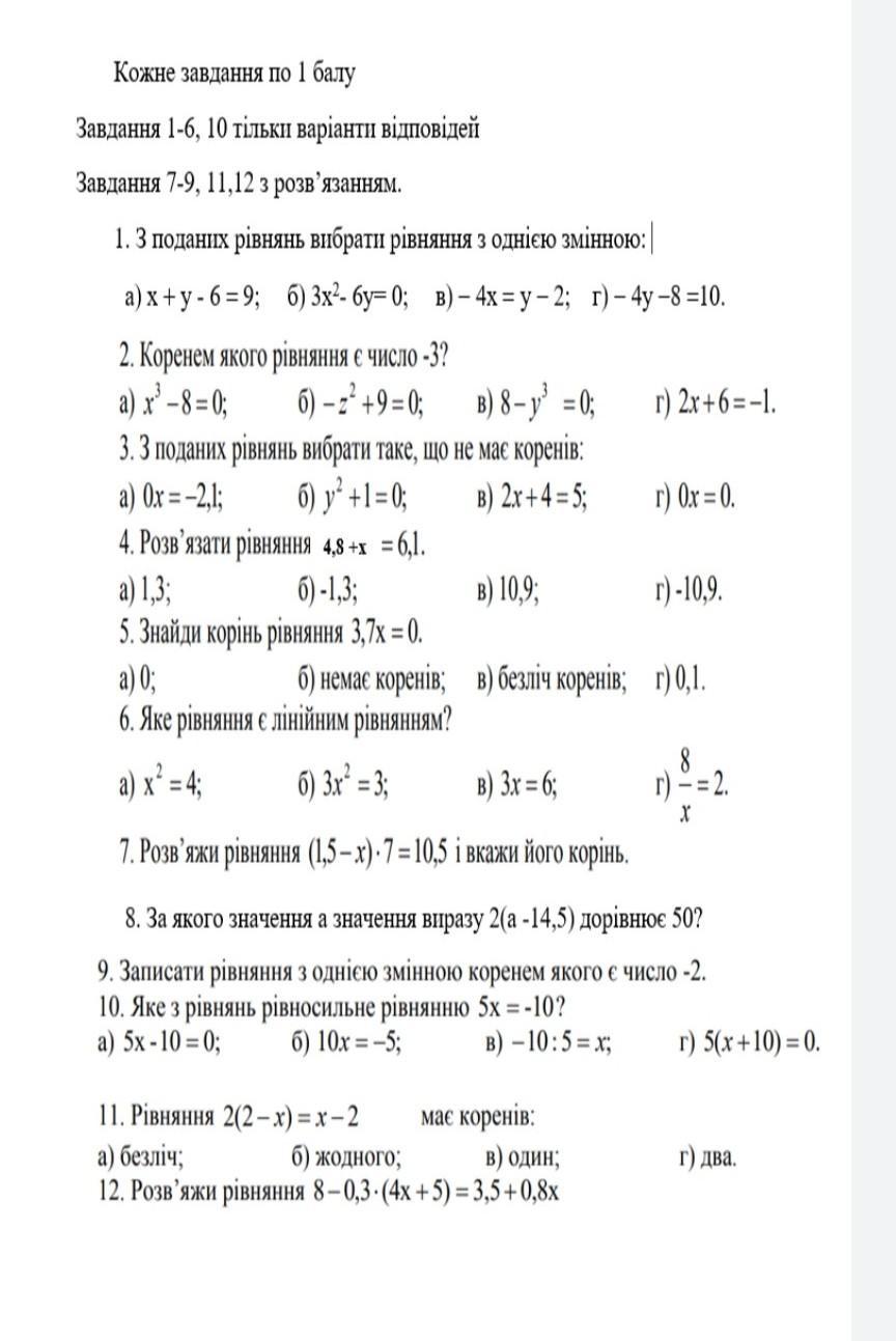
1.г)

2.б)

3.а)

4.а)

5.а)

6.г)

7. Раскрываем скобки 10,5-7х=10,5 сокращаем 10,5 и у нас выходит -7х=0 х=0

8. Раскрываем скобки 2а-29=50 2а=79 а=39,5

9. 3х=-6 х=-2

10.в)

11.в)

12. Раскрываем скобки: 8-1,2х-1,5=3,5+0,8х

    Теперь переносим с иксом в левую часть -1,2х-0,8х=3,5-6,5

    Выполняем действия -2х=-3

    х=3/2 (три вторых или же одна целая одна вторая)

Вас заинтересует