• Предмет: Алгебра
  • Автор: zolotarevsasha
  • Вопрос задан 7 лет назад

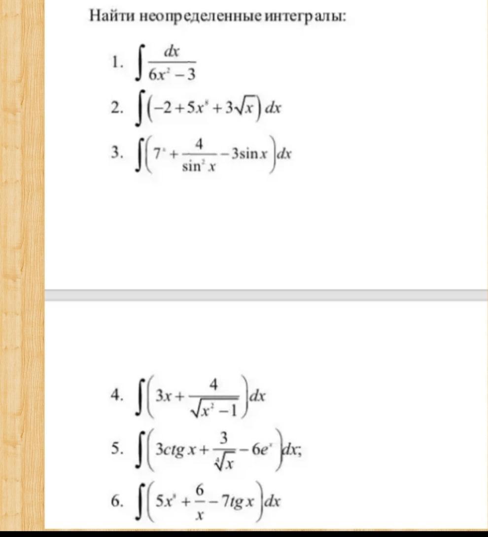
Помогите найти неопределённые интегралы

Приложения:

Ответы

Ответ дал: propermister370
0

Ответ:

6 4 3 5 понятно??????????


zolotarevsasha: Нет
propermister370: ем
propermister370: ну тогда извини
zolotarevsasha: Что сможешь то и реши
Вас заинтересует