• Предмет: Математика
  • Автор: maksimmorochko
  • Вопрос задан 7 лет назад

Допоможіть будласка даю 30 баллів

Приложения:

Ответы

Ответ дал: Aleks125412
0

Ответ:

Пошаговое объяснение:

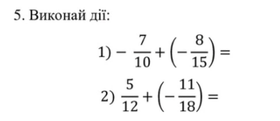
1) -7/10-8/15=-37/30 или -1 целая 37/30

2)5/12-11/18= 15-22/36 = -7/36

Где / это черта дроби

Вас заинтересует