• Предмет: Математика
  • Автор: nikitamozyr
  • Вопрос задан 7 лет назад

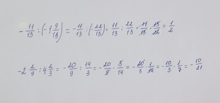
найдите частное а) -11/13:(-1 9/13) в) -2 2/9:4 2/3 ​


imaruda: 1) 0,8

Ответы

Ответ дал: tasha82v26
1

Пошаговое объяснение:

........................

Приложения:
Вас заинтересует