• Предмет: Алгебра
  • Автор: gavelya987
  • Вопрос задан 7 лет назад

Срочно!! Буду благодарен

Приложения:

Ответы

Ответ дал: pikezp
1

Ответ:

Объяснение:

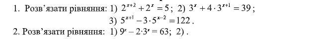
1.1)

2^{x+2}+2^{x}=5\\4*2^x+2^x=5\\2^x(4+1)=5\\2^x*5=5\\2^x=1\\2^x=2^0\\x=0

1.2)

3^x+4*3^{x+1}=39\\3^x+4*3*3^x=39\\3^x(1+12)=39\\3^x=3\\3^x=3^1\\x=1

1.3)

5^{x+1}-3*5^{x-2}=122\\5*5^x-3*\frac{1}{25}*5^x=122\\ 125*5^x-3*5^x=122*25\\5^x(125-3)=122*25\\122*5^x=122*25\\5^x=25\\5^x=5^2\\x=2

2)

9^x-2*3^x=63\\(3^{x})^2-2*3^{x}=63

Проводим замену 3^x на y

y^2-2y=63\\y^2-2y-63=0\\D=(-2)^2-4*1*(-63)=256\\\\x_{1}=\frac{2-\sqrt{256} }{2}=-7\\\\ x_{2}=\frac{2+\sqrt{256} }{2}=8\\\\3^x\neq -7\\ 3^x=8\\x=log_{3}8

Вас заинтересует