• Предмет: Геометрия
  • Автор: muzhetskiynik
  • Вопрос задан 7 лет назад

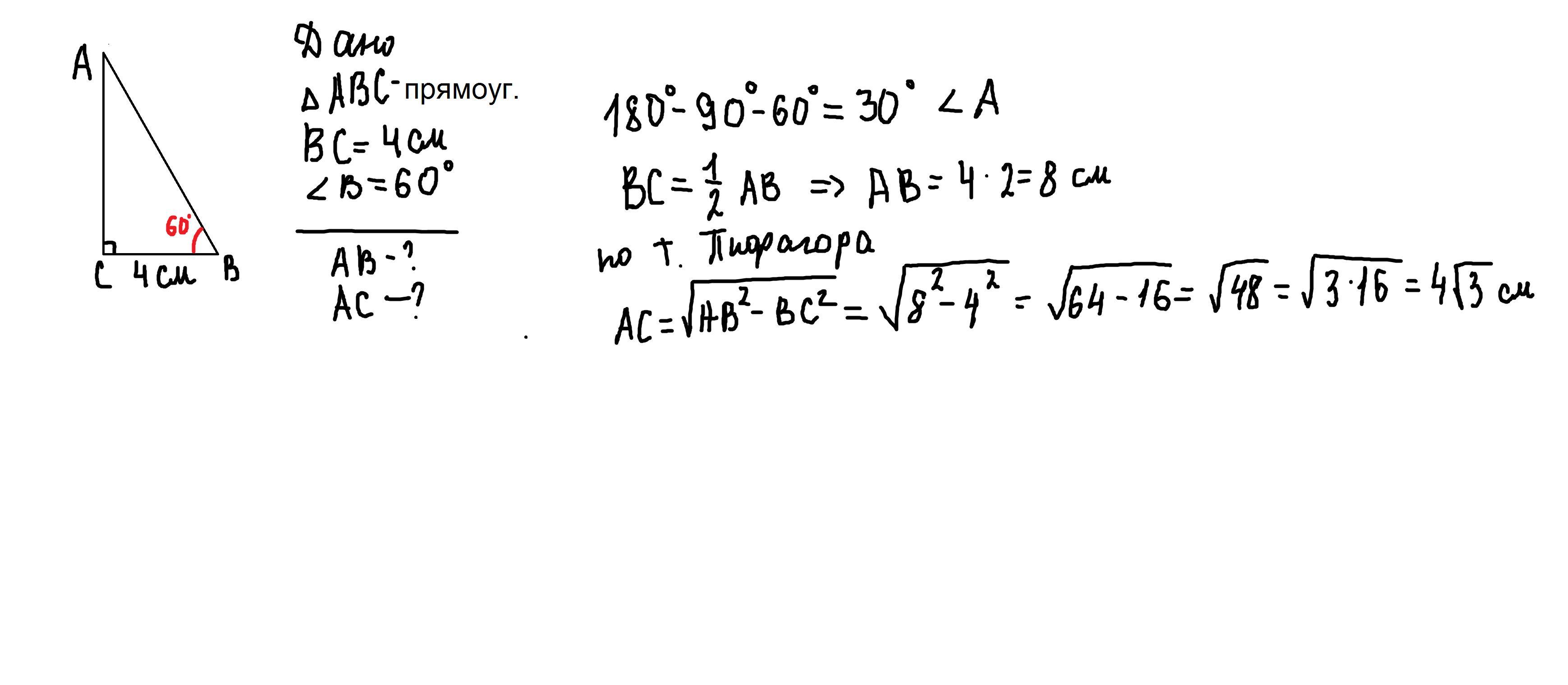
Знайдіть катет і гіпотенузу прямокутного трикутника за катетом 4 см і прилеглим кутом в 60°
срочно нужен ответ

Ответы

Ответ дал: parus77
2

Ответ:

гипотенуза 8см,второй катет 4√3 см

Объяснение:

найдем третий угол треугольника.Он равен 30 градусам.В прямоугольном треугольнике против угла 30 градусов лежит катет,равный половине гипотенузы.Найдем гипотенузу.Потом по т.Пифагора найдем найдем второй катет.

Приложения:
Вас заинтересует