Ответы
Ответ дал:
0
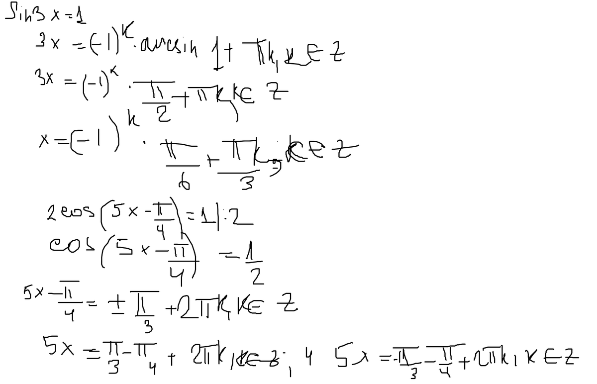
Вот,это как бы так решается
Приложения:


Ответ дал:
0
пример а не правильный)
там частный случай, а б правильный, спасибо)
там частный случай, а б правильный, спасибо)
Ответ дал:
0
А точно,блин совсем забыла с этой тригонометрией!)
Вас заинтересует
2 года назад
8 лет назад
10 лет назад
10 лет назад
10 лет назад