• Предмет: Математика
  • Автор: mashazam
  • Вопрос задан 7 лет назад

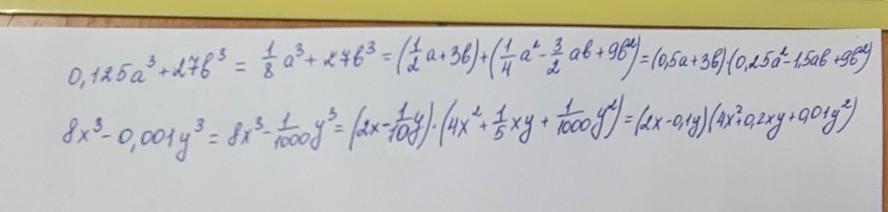
разложить на множители
1) 0,125a³+27b³
2) 8x³-0,001y³​

Ответы

Ответ дал: tasha82v26
1

Пошаговое объяснение:

лови, 2 варианта разложения на множители с дробями и без. обрати внимание!!!

Приложения:
Вас заинтересует