• Предмет: Математика
  • Автор: iliaanibragimov
  • Вопрос задан 7 лет назад

дам 40 баллов отмечу как лучший ответ

Приложения:

Ответы

Ответ дал: iramazurk
0

Ответ:

Пошаговое объяснение:

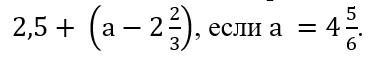
1) 4. 5/6 - 2. 2/3 = 4. 5/6 - 2. 4/6 = 2. 1/6

2) 2,5 + 2. 1/6 = 2. 5/10 + 2. 1/6 =

2. 1/2 + 2. 1/6 = 2. 3/6 + 2. 1/6 =

4. 4/6 = 4. 2/3


jekadva: 2. 1/2 + 2. 1/6 = 2. 3/6 + 2. 1/6 = 4. 4/6 = 4. 2/3
iramazurk: Да. Спасибо
Вас заинтересует