• Предмет: Математика
  • Автор: kamillaboldyrewa62
  • Вопрос задан 7 лет назад

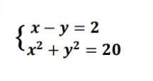
Розв'яжіть систему рівнянь
Срочно!!!​

Приложения:

Ответы

Ответ дал: lenochkalee
2

Ответ: (4;2); (-2;-4)

подробное решение смотри на фото

Приложения:
Вас заинтересует