• Предмет: Алгебра
  • Автор: Тетрадка13
  • Вопрос задан 11 лет назад

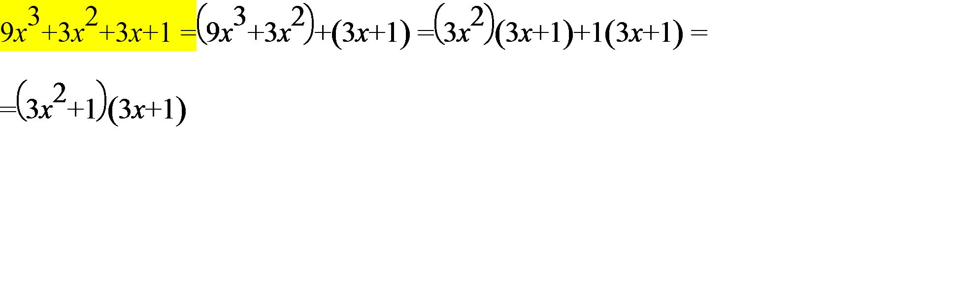
Разложите на множители выражение: 9х^3 + 3x^2 + 3х + 1

Ответы

Ответ дал: Мышаня
0

(3x^2+1)(3x+1) Вот..............

Ответ дал: triolana
0

файл

================================ 

Приложения:
Вас заинтересует