• Предмет: Химия
  • Автор: nrtkfert
  • Вопрос задан 7 лет назад

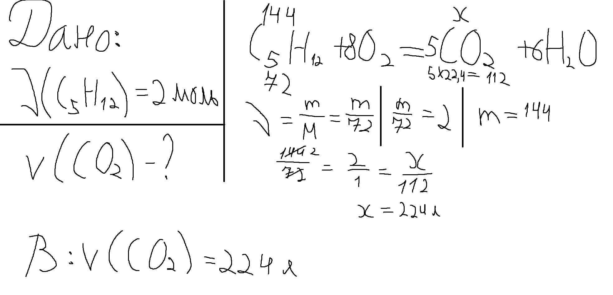
какой объём углекислого газа образовывается в результате сгорания 2 моль пентана?

Ответы

Ответ дал: RankFuzzball179
1

Відповідь:

V(CO_{2}) = 224 лл

Пояснення:

Приложения:
Вас заинтересует