• Предмет: Алгебра
  • Автор: irinasokolovskaa861
  • Вопрос задан 7 лет назад

Пожалуйста срочно, даю 20 баллов!​

Приложения:

irinasokolovskaa861: какие 8? мне кут нужно найти барабашка)
Аноним: вопрос вообще непонятный
irinasokolovskaa861: вот и я ничего не пойму(

Ответы

Ответ дал: lvv9136
0

Ответ:

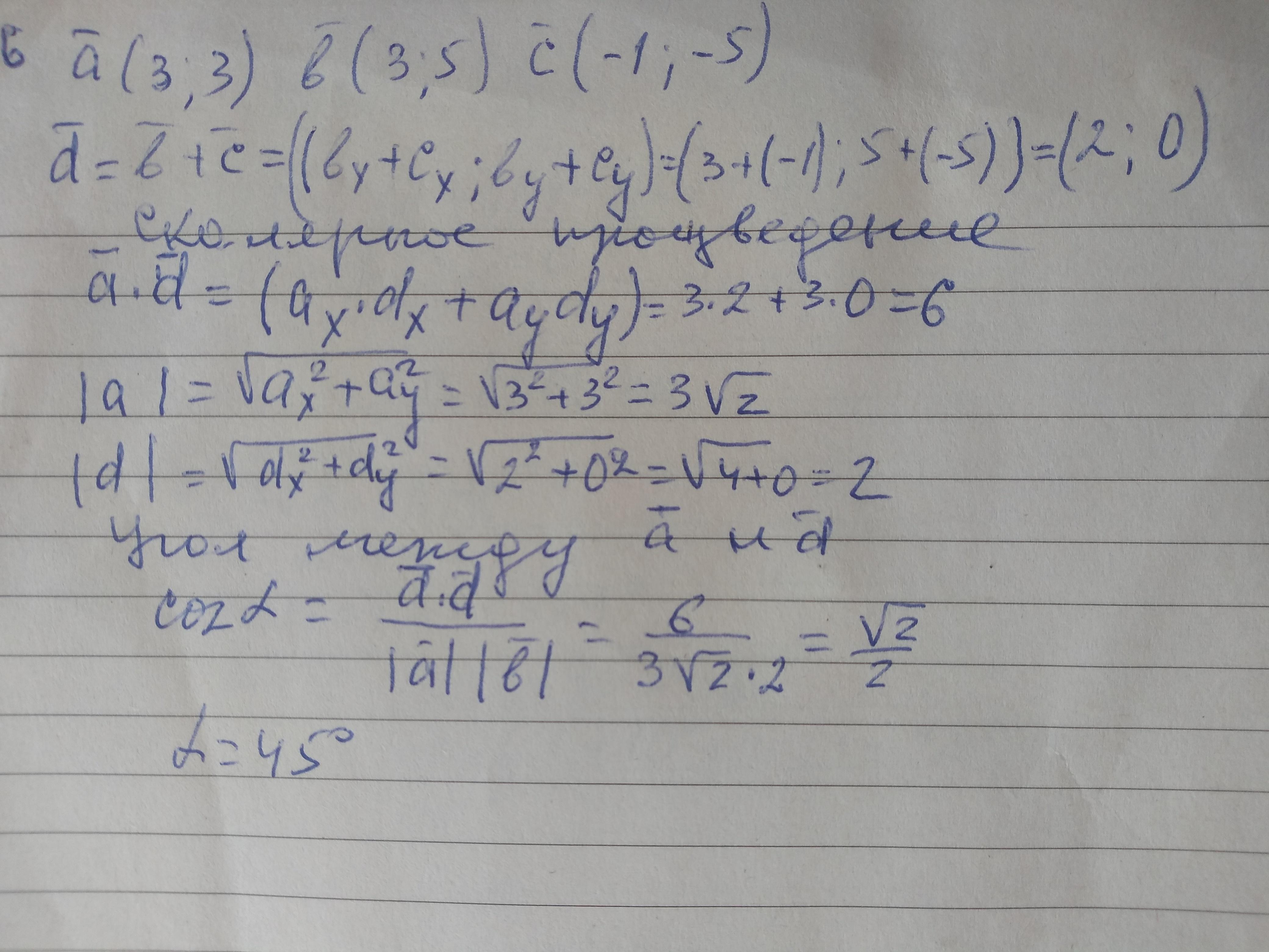
см фото

Объяснение:

Приложения:
Вас заинтересует