• Предмет: Алгебра
  • Автор: podpisoch
  • Вопрос задан 7 лет назад

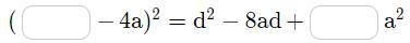
Заполни пропуски в выражении.
Запиши подходящие значения в полях ответа.

Приложения:

Ответы

Ответ дал: dashabigys
4

Ответ:

(d-4a)²=d²-8ad+16a²

Объяснение:

(d-4a)²=d²-8ad+16a²


podpisoch: извини
podpisoch: хотел пять поставить
Вас заинтересует