• Предмет: Физика
  • Автор: Ecco1
  • Вопрос задан 7 лет назад

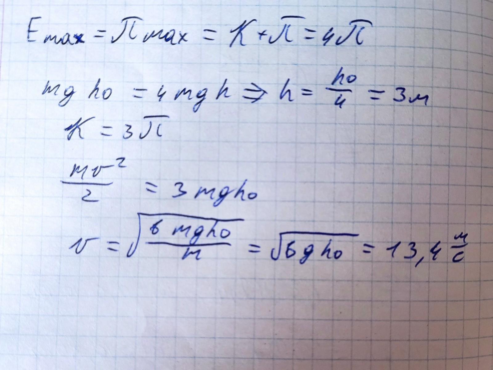
Тело свободно падает с высоты h0 = 12 м. На какой высоте h от поверхности Земли кинетическая энергия тела Ek будет в три раз больше его потенциальной энергии Ep? Сопротивлением воздуха пренебречь.

1. Определите высоту h. Ответ выразить в м, округлив до целых.
2. Какой скоростью v будет обладать тело на высоте ? Ответ выразить в м/с, округлив до десятых.
3. Закреп.

Приложения:

Ответы

Ответ дал: TourFounder
0

Решение в закреплённом файле

Приложения:
Ответ дал: zinovicgrigorij
1

Ответ: 3м; 13,4м/с; Ек=90Дж; Еп=30Дж

Объяснение:

Дано:

ho=12м

--------------

Ек=3Еп-?

Ек=mV²/2

Еп=mgh

mV²/2=3mgh

V=√2g(ho-h)

ho-h=3h

4h=ho

h=g=h0/4=12/4=3м

V=√2g(ho-h)=√2*10*(12-3)=13,4м/с

13,4²/2=3*10*3

90=90

Вас заинтересует